
主编:韩冰
创刊时间:1958年
国际标准刊号:ISSN 1674-5795
国内统一刊号:CN 11-5347/TB
国内邮发代号:80-441
- 浏览排行
- 引用排行
- 下载排行
柴钰 , 陈德樟 , 李德志 , 吕铠杭 , 李昊鹏 , 党超群 , 居冰峰 , 杨琛
2026, 46(1):1-18. DOI: 10.11823/j.issn.1674-5795.2026.01.01
摘要:介绍了扫描隧道显微镜(Scanning Tunneling Microscope, STM)的基本工作原理,阐述了STM如何全面满足原子级制造中“看得到”“测得精”“造得出”三大核心需求,并分析了其在揭示量子现象与构筑人工原子结构方面的关键作用。指出STM的强环境适应性、超高空间分辨率、超高时间分辨率等特点,为揭示原子级制造中的新机制与新效应提供了关键实验依据;STM基于特有的量子隧穿效应可对制备结构的电学、磁学等物性参数进行精确测量,建立制造参数与器件性能之间的定量构效关系,从而为工艺优化与质量评估提供依据;将STM的原子级精准操纵能力与自动化、高通量技术模块深度融合是突破其效率瓶颈、迈向产业应用的核心路径,这一技术融合将推动原子制造从单一结构的精确制备,迈向复杂功能器件的高效、可控制造。提出未来需要进一步研究能够同时实现飞秒级时间分辨率与亚埃级空间分辨率的STM原位测量技术,并拓展复杂多物理场耦合下STM系统的综合物性表征能力,为下一代量子材料与信息器件的发展提供技术支撑。
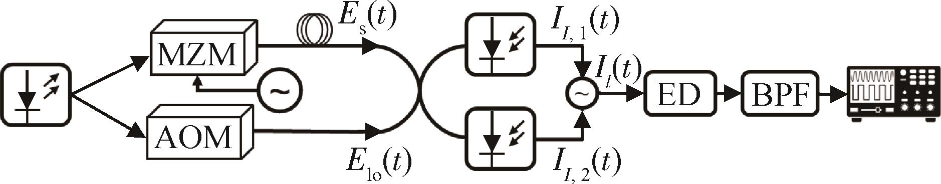
李志健 , 刘浩 , 万超 , 郝浩 , 赵清源 , 米庆改 , 张磊 , 李聪 , 孙博 , 毛立涛 , 王华兵 , 武腾飞
2026, 46(1):19-32. DOI: 10.11823/j.issn.1674-5795.2026.01.02
摘要:为解决四象限超导纳米线单光子探测器在高计数率条件下光子计数值失真及低信噪比条件下定位困难的问题,本文引入计数值非线性校正机制,推导校正后的高斯光斑定位解析解,提出非整数次幂运算和差定位的原创方法,通过指数
2026, 46(1):33-54. DOI: 10.11823/j.issn.1674-5795.2026.01.03
摘要:介绍了光梳的基本原理与分类,阐述了电光频率梳的产生机制及典型结构,系统梳理了基于薄膜铌酸锂、氮化硅等材料平台的电光频率梳实现方式与性能特点,涵盖马赫-曾德尔调制器、相位调制器以及微环谐振腔等方案。论述了电光频率梳的谱段扩展方法,总结了电光频率梳在光谱学、精密测距、光通信等领域的应用情况。展望未来电光频率梳技术的发展方向,指出可通过跨学科的技术融合与协同设计,进一步降低电光频率梳系统的控制复杂度、噪声敏感性、热漂移,提升系统的精度、抗环境干扰能力、稳频性能,推动电光频率梳在精密测距与相干通信等领域向实用化方向发展。
2026, 46(1):55-62. DOI: 10.11823/j.issn.1674-5795.2026.01.04
摘要:在超长跨距光纤频率传递过程中,功率衰减、有源器件带附加噪声等因素导致接收端频率信号微弱,限制了信号检测分辨率和灵敏度。针对该问题,本研究团队提出基于本振光增强的双混频时差微弱频率信号检测方法,通过相干激光器增强微弱载波信号功率,采用双混频时差检测结构以提升接收灵敏度,同时结合平衡探测技术实现高信噪比信号提取。实验结果表明:与传统的强度调制 / 直接探测方式相比,基于本振光增强的双混频时差微弱频率信号检测方法可有效提升接收端灵敏度约10 dB,在相同的入光功率条件下射频功率提升了25 dB;该方法实现了优异的频率稳定度,阿伦方差为2 × 10-13@1 s及2.1 × 10-15@10 000 s,在差频为10 kHz的条件下稳定度为3 × 10-17@1 s和3 × 10-19@10 000 s,验证了其在高精度光纤频率传递中的可行性与显著优势。
2026, 46(1):63-82. DOI: 10.11823/j.issn.1674-5795.2026.01.05
摘要:介绍了结构光照明三维测量技术非接触、高精度和高灵活性等特点,论述了基于条纹结构光照明的复杂场景三维形貌测量技术的原理和研究进展,重点阐述了本课题组为提升该技术的精度、效率而开展的一系列工作。分析了基于条纹结构光照明的三维测量技术在大尺寸化石断层平面、高动态范围工件、高速运动变化过程以及大口径光滑光学元件测量领域的应用案例,探讨了结构光照明三维形貌测量技术面临的挑战,指出未来可通过多学科深度交叉融合等方式进一步提升基于条纹结构光照明的三维形貌测量技术的精度和效率,突破技术瓶颈,实现多类型极端复杂环境下的高可靠性三维数字化测量。
刘子涵 , 王泽平 , 常冰 , 严英占 , 姚佰承 , 谭腾
2026, 46(1):83-104. DOI: 10.11823/j.issn.1674-5795.2026.01.06
摘要:概述了光学频率梳的原理和特点,介绍了基于光学频率梳的激光测距技术精度高、速度快、探测范围大的优势,分析了基于光学频率梳的飞行时间法、色散干涉法、调频连续波法、随机调制连续波法等激光测距方法的研究进展。展望基于光学频率梳的激光测距技术未来的发展前景,指出可通过探索频梳测距的新物理机制,进一步拓展测量范围、提高更新速率、降低系统复杂度;可通过发展频梳稳定化和参数灵活化的新技术方案抑制噪声,进一步提升测量精度;可通过完善跨时标的漂移监测与自动校准机制、配置多参量环境感知与在线折射率补偿链路等方式,提升基于光学频率梳的激光测距技术的实用化水平。
2026, 46(1):105-128. DOI: 10.11823/j.issn.1674-5795.2026.01.07
摘要:介绍了兼具非接触、高精度、适应性强等优势的白光干涉术,分析了实际测量中干涉信号受光源不稳定、扫描器件非线性与环境扰动等多重因素影响导致信号相位噪声显著增加的问题。阐述了目前白光干涉信号相位噪声分析与抑制方法的研究进展,重点展示了本课题组在该领域开展的一系列研究工作,包括构建涵盖随机扰动、色散误差与振动等影响因素的多源噪声分析框架,以及有针对性地提出的噪声抑制策略。指出未来应进一步深入研究白光干涉中相位噪声的形成机制、相位响应特性以及与系统参数的耦合关系等,提出可将多源噪声建模、自适应优化与深度学习等技术应用于白光干涉信号相位噪声分析与抑制领域,推动精密测量技术的发展。
崔航 , 邓忠文 , 张恒康 , 王树震 , 孙海峰 , 孟夏薇 , 张树威 , 龚俊宇 , 李小平
2026, 46(1):129-139. DOI: 10.11823/j.issn.1674-5795.2026.01.08
摘要:传统激光调频连续波测距技术多基于可调谐激光器或双光源架构实现,系统复杂、工程化难度高,且动态场景下存在误差放大现象。针对上述不足,本研究团队提出一种基于电光双边带调制的激光调频连续波测距方法,利用稳频激光器与电光调制器生成2路反向扫频信号,降低系统体积并减小动态误差;设计全相位快速傅里叶变换算法,实现高动态、高噪声条件下稳定可靠的相位解算;引入卡尔曼滤波优化动态状态估计,提高测距稳定性。实验结果表明:在接入20 m光纤的条件下,该方法的绝对距离测量误差不超过± 20 μm;在振幅 ≤ 500 nm、频率 ≤ 200 Hz的条件下,正弦振动目标相对位移测量误差不超过± 25 nm,验证了该方法的高可靠性,为推动激光调频连续波测距技术的工程化应用提供了有力支撑。
2026, 46(1):140-146. DOI: 10.11823/j.issn.1674-5795.2026.01.09
摘要:现有的全场谱域干涉技术依赖于波长或振镜扫描,制约了其单次探测全场信息的能力。针对该问题,本文提出了基于数字微镜设备的全场谱域干涉技术,通过数字微镜设备对空间光场分布进行编码,采集顺序加载掩膜对应的时变谱域信息,进一步解码得到空间各像素处的幅值响应,结合测量算法实现全场信息获取。实验结果表明:该技术能够有效实现高精度光谱干涉距离测量和光谱椭偏膜厚测量,且显著提升了全场测量效率。基于数字微镜设备的全场谱域干涉技术适用于稀疏表面的三维结构快速恢复和重建,为抛光晶圆、硅绝缘片及键合界面的厚度与形貌高效表征提供了有力支撑。
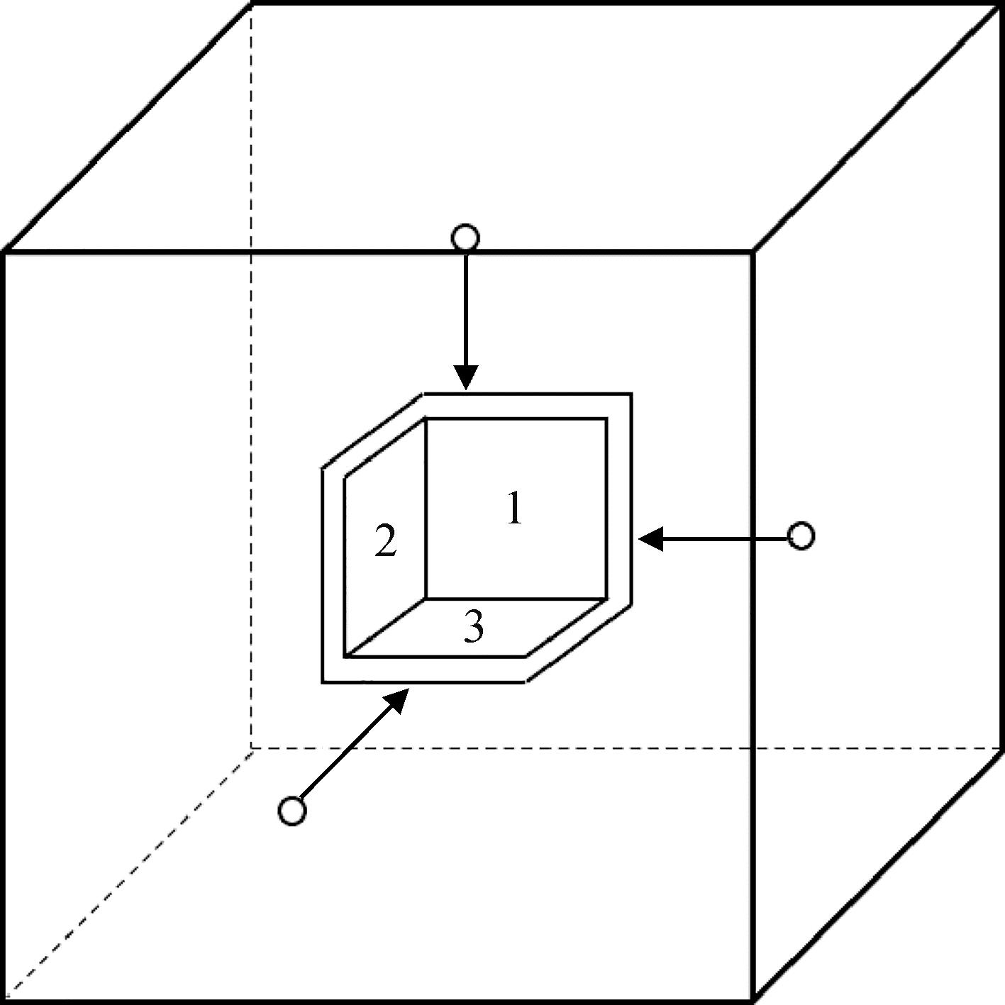
2026, 46(1):147-159. DOI: 10.11823/j.issn.1674-5795.2026.01.10
摘要:国内外现行的结构光三维测量系统校准规范中,未对被测物表面为多类非漫反射表面情况下的校准方法进行规定,不能完全满足实际校准需求。针对此问题,本研究团队分析结构光三维测量系统实际校准场景,从光学特性角度定义半透明表面、高反光表面以及高动态范围反射率表面,设计不同表面适用的标准器,根据实际需求具体给出校准方法,实现了对结构光三维测量系统多类非漫反射表面几何参数测量能力的校准。本研究团队提出的多类非漫反射表面结构光三维测量系统校准方法是对现行结构光三维测量系统校准方法的补充及完善,为推动结构光三维测量技术向精密化、标准化方向发展起到了重要作用。
2026, 46(1):160-168. DOI: 10.11823/j.issn.1674-5795.2026.01.11
摘要:目前缺乏具备通用性且便于集成的微纳米三坐标测量机Z轴六自由度误差在线测量与补偿方案,为解决此问题,本研究团队提出基于激光干涉和自准直原理的Z轴直线和角度误差同步测量方法,基于阿贝原则与布莱恩原则建立Z轴六自由度误差补偿模型,研制相应的高精度紧凑型在线六自由度误差测量系统,并将该系统应用于微纳米三坐标测量机中。对标称厚度为8 mm的0级量块进行测量,结果显示:误差补偿后,量块厚度测量结果的标准差与示值误差分别降低了54.6%与54.3%。研究成果为提高三坐标测量机测量准确性提供了有力支撑。
王一然 , 史慎东 , 赵泽森 , 杨蕊绮 , 王子博 , 邾继贵
2026, 46(1):169-180. DOI: 10.11823/j.issn.1674-5795.2026.01.12
摘要:旋转激光扫描测角系统接收器姿态变化导致的光束入射角变化会引入系统性测角误差,影响系统精度与鲁棒性。为解决该问题,基于光束传播几何关系与接收器结构特性,建立局部投影模型和高斯光条分布模型,分析不同入射角条件下的光电响应差异,结合惯性测量单元提供的姿态信息,构建接收器坐标系下的有效接收面模型,提出考虑接收器结构特性的误差补偿方法。仿真结果表明:随着入射角增加,接收器的光电响应波形呈现出明显的非对称性,测角误差可达数十角秒;本文提出的补偿方法能够有效修正该误差,使均方根降低约90%。精密转台实验结果表明:补偿后接收器轨迹的圆度误差由0.81 mm减小至0.17 mm,验证了补偿模型的有效性。研究成果丰富了旋转激光扫描系统的误差建模理论,为提升接收器姿态变化条件下的测量精度和稳定性提供了有效途径。

主编:韩冰
创刊时间:1958年
国际标准刊号:ISSN 1674-5795
国内统一刊号:CN 11-5347/TB
国内邮发代号:80-441