
Editor in chief:
Inauguration:
International standard number:ISSN
Unified domestic issue:CN
Domestic postal code:
- Most Read
- Most Cited
- Most Downloaded
DONG Ruifang , XIANG Xiao , QUAN Run'ai , HONG Huibo , SHI Bingke , LIU Tao , ZHANG Shougang
2025, 45(4):1-11. DOI: 10.11823/j.issn.1674-5795.2025.04.01
Abstract:Quantum time synchronization is an interdisciplinary frontier technology that integrates quantum technology with time-frequency technology. By leveraging the intrinsic nonlocal time correlation of frequency-entangled biphoton sources, two-way quantum time synchronization not only improves the precision of existing time synchronization by 1~2 orders of magnitude but also possesses inherent security advantages. This provides a new generation of transformative technical solutions for significantly enhancing time service precision and ensuring time service security. This paper focuses on the research progress achieved by the National Time Service Center of the Chinese Academy of Sciences in the field of two-way quantum time synchronization: a model for evaluating the accuracy of two-way quantum time synchronization has been established; the first international demonstration of 10-femtosecond-level ultra-high-precision quantum time synchronization was reported; successful demonstrations of sub-picosecond-level time transfer were achieved on a 2 km free-space + 7 km field fiber hybrid link, hundred-kilometer field fiber link, and a 250 km ultra-long-distance fiber link, fully validating the high-precision synchronization ability of this technology under high-loss and strong-noise environmental conditions; meanwhile, the security advantages of the quantum time transfer system have been experimentally verified. These research achievements not only mark significant progress in the field of long-distance fiber-based quantum secure time transfer in China but also provide a highly compatible time synchronization solution for the future construction of large-scale quantum networks.
ZHAI Yufei , YANG Lyupeng , SHAO Ming , YU Yu , WANG Yi , ZHANG Hao , MA Yifei , WANG Mei , ZHANG Linjie
2025, 45(4):12-47. DOI: 10.11823/j.issn.1674-5795.2025.04.02
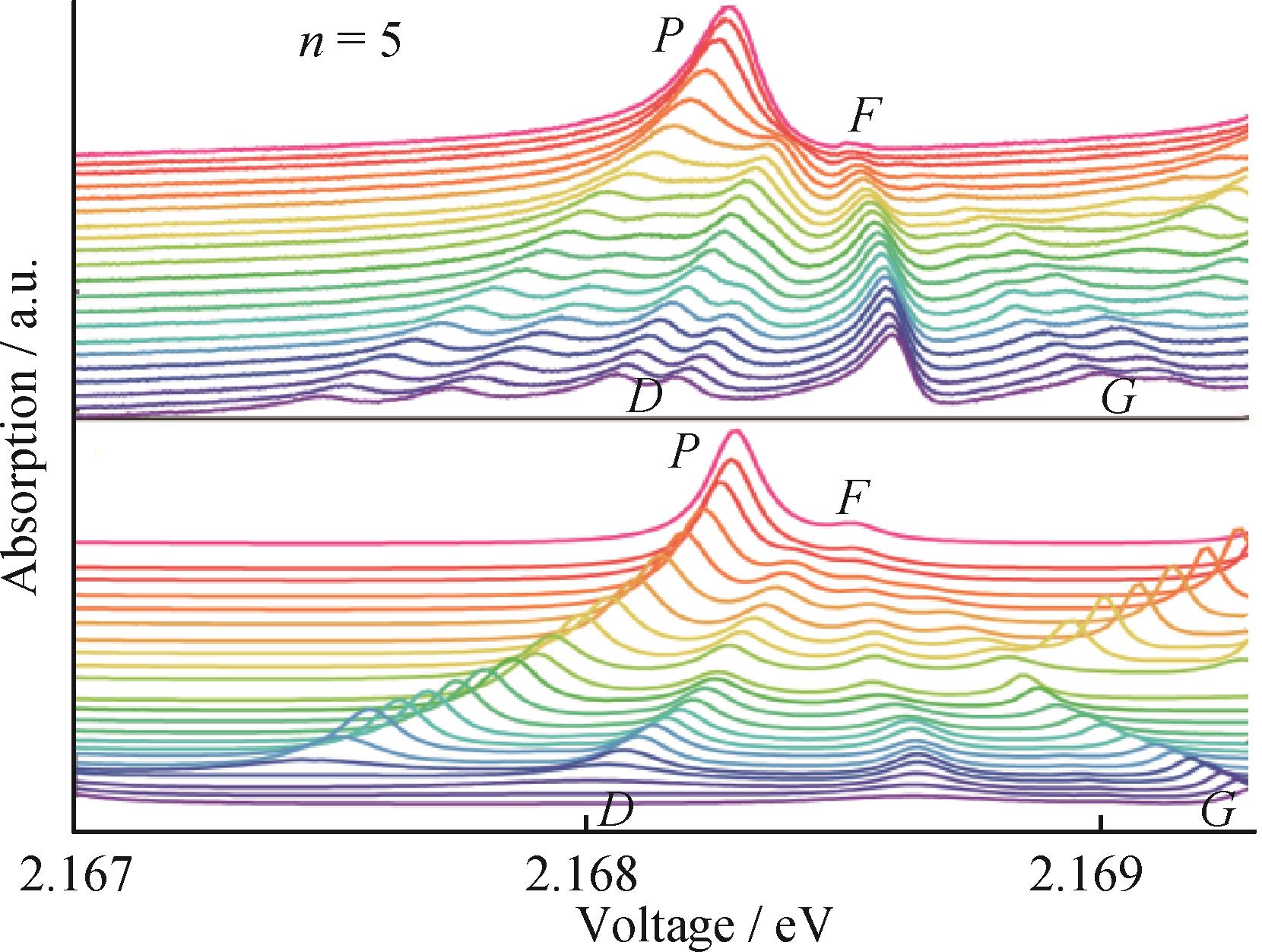
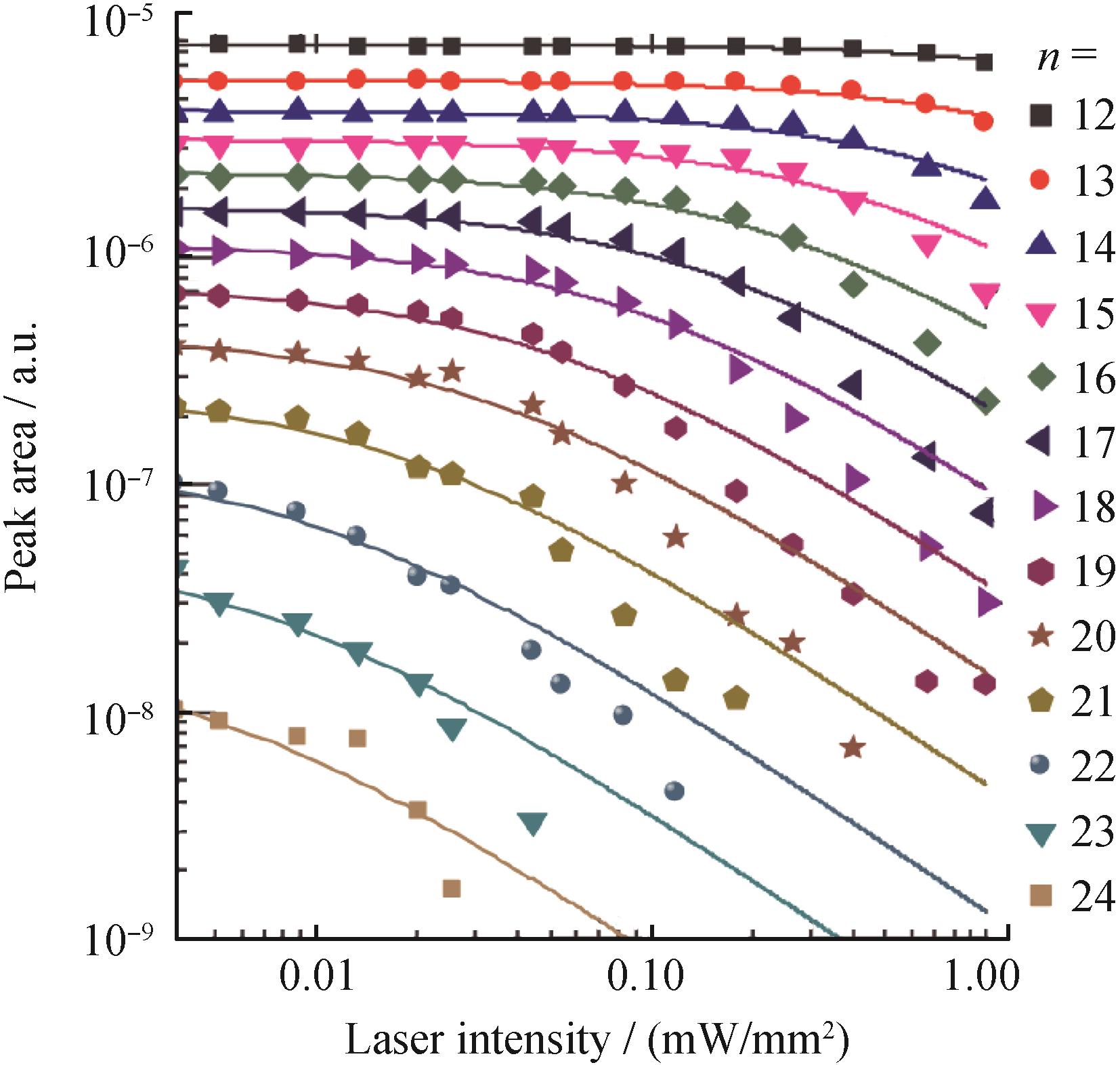
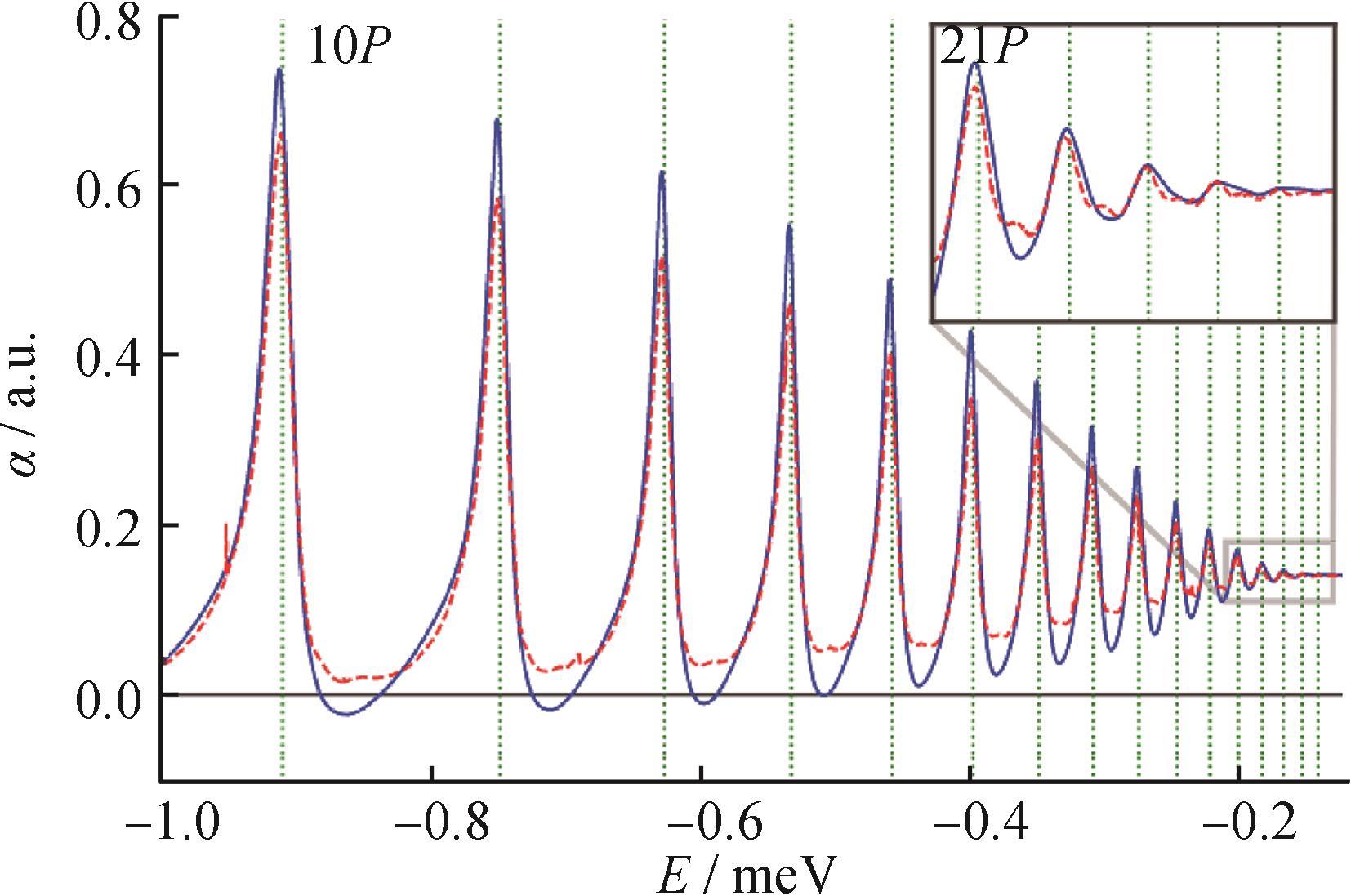
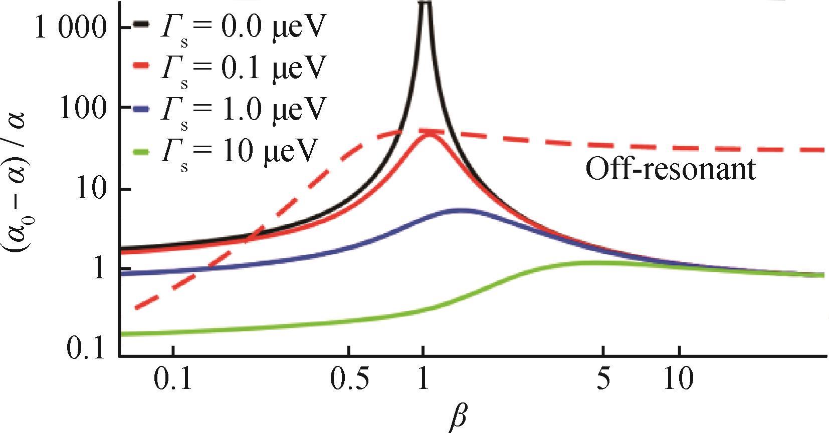
Abstract:This review introduces Rydberg excitons as highly excited electron-hole pairs in semiconductors, highlighting their core characteristics: hydrogen-like energy levels, macroscopic quantum properties, strong interactions, and nonlinear optical response. It elaborates on cuprous oxide (Cu2O) as an ideal platform for observing high-order Rydberg states due to its low defect density and dipole-forbidden transitions. The analysis covers key properties of Rydberg excitons revealed through spectroscopic techniques and external field manipulation: micron-scale radii, high polarizability, long lifetimes, and large dipole moments. It further discusses the significantly enhanced long-range interactions between excitons at high principal quantum numbers, which lead to phenomena like excitonic blockade and nonlinear refraction. The discussion extends to the modulation of excitonic properties by external fields, including field-induced energy level splitting, alteration of transition selection rules, and selective excitation of specific states, while also noting the impact of environmental perturbations on spectral features. It is pointed out that Rydberg excitons have great potential for applications in cutting-edge fields such as weak-field sensing, on-chip single-photon devices, quantum simulation, and microwave-to-optical signal conversion due to their distinctive physical attributes and extreme sensitivity to external fields and the environment. The review proposes that in-depth research and exploitation of these properties represent a crucial direction for advancing high-performance quantum information technologies and precision sensing in the future.
MAO Chengshuang , GAO Shan , LIU Hailong , WANG Zixu
2025, 45(4):48-56. DOI: 10.11823/j.issn.1674-5795.2025.04.03
Abstract:To address the challenges of speckle image blurring and noise coupling caused by thermal airflow disturbances in high-temperature environments, a collaborative restoration method that integrates image degradation theory and multi-frame signal processing is proposed. Firstly, by constructing an adaptive loss function optimization model based on the Structural Similarity Index (SSIM), the degradation parameters are adaptively estimated, breaking through the limitations of the mismatch between the traditional fixed degradation model and the actual thermal disturbances. Then, by combining Wiener filtering and grayscale averaging techniques, the joint optimization of deblurring and denoising is achieved, solving the technical problem of balancing noise suppression and detail preservation. The verification results on a 600 °C high-temperature experimental platform show that the root mean square error of image displacement measurement processed by the traditional grayscale averaging method is 0.006 4 mm; the root mean square error of image displacement measurement processed by the high-temperature Digital Image Correlation (DIC) measurement method based on adaptive optimization of the degradation function and grayscale averaging is 0.004 7 mm, and the image quality is significantly improved, meeting the sub-pixel accuracy requirements. This method does not require the use of complex hardware and does not need to know the parameters of the heat flow field in advance, significantly improving the robustness of high-temperature DIC measurement. It provides a low-cost and high-precision solution for material deformation analysis under extreme working conditions and has important engineering application value.
HE Wenjing , NI Yubo , TIAN Xiuxiu , LI Ziyu , LI Yanling , ZHANG Zonghua
2025, 45(4):57-65. DOI: 10.11823/j.issn.1674-5795.2025.04.04
Abstract:To achieve high-precision measurement of the complete three-dimensional (3D) shape of double-specular-surface objects, a global optimization method for system calibration is proposed. Firstly, a double-specular-surface shape measurement system is established using two direct phase measuring deflectometry subsystems without overlapping Field-of-View (FoV), which fully covers the measured FoV of the double-specular-surface object. Secondly, traditional methods are applied for depth calibration, lateral calibration of each subsystem, and calibration of the transformation between the measurement references of the two subsystems. Finally, a high-precision double-specular-surface calibrator is employed to optimize the initial calibration parameters. Three measurement errors are introduced to evaluate the 3D measurement accuracy of the calibrator. By minimizing the defined measurement errors, the optimal calibration parameters are calculated. Comparative experiments were performed to verify the application effects of the global optimization system calibration method. When the initial system calibration method was used to obtain the system parameters, and then the complete 3D shape of a gauge block was reconstructed, the root mean square error (RRMSE) of the distance between the two surfaces of the gauge block was 164 μm. When the global optimization system calibration method was employed to determine the system parameters and reconstruct the complete 3D shape of the gauge block, the RRMSE for the distance between the two surfaces was reduced to 34 μm. The global optimization system calibration method effectively improves the 3D shape measurement accuracy of double-specular-surface objects, providing a technical reference for enhancing the calibration precision of multi-sensor optical measurement systems under non-common-view conditions.
PAN Shuhua , WU Jianbo , XIA Hui , WANG Zhe , HUANG Ganghua , GONG Yuxuan
2025, 45(4):66-73. DOI: 10.11823/j.issn.1674-5795.2025.04.05
Abstract:Aiming at the problem of the decline in the accuracy of ultrasonic wall thickness measurement caused by temperature fluctuations during the operation of high-temperature petrochemical pipelines, a measurement method based on the inversion of temperature and the compensation of wall thickness by ultrasonic guided wave signals is proposed. A two-dimensional steady-state heat transfer model was established, the temperature field distribution of the waveguide strip was analyzed, an ultrasonic flight time prediction model was constructed, the quantitative relationship between the pipe temperature and the ultrasonic flight time in the waveguide was characterized, and the real-time measurement of the temperature of high-temperature pipes was achieved. On this basis, the ultrasonic guided wave thickness measurement data was compensated to improve the accuracy of pipe wall thickness monitoring. An ultrasonic guided wave measurement platform was built and experiments were performed. The results show that within the range of 15 ~ 500 ℃, this method can achieve precise measurement of the temperature change of the pipeline, and the measurement error of the wall thickness after compensation is ± 0.1 mm. This method breaks through the application bottleneck of the existing guided wave thickness measurement devices in variable-temperature environments, providing technical support for the safe operation of petrochemical plants.
ZHANG Peixuan , DONG Yiwei , ZHANG Yi , YIN Ruiyang , WU Xianxing , LI Shouzheng
2025, 45(4):74-86. DOI: 10.11823/j.issn.1674-5795.2025.04.06
Abstract:To address the unstable quality of processed bamboo and wood products caused by both the performance limitations of current processing machinery and the inherent defects of bamboo and wood materials, this study focuses on key defect detection technologies within intelligent wood manufacturing, and proposes an integrated quality assessment system based on an improved YOLO (You Only Look Once)object detection algorithm. Innovatively, the system incorporates a multi-parameter defect weighting mechanism, enabling quantitative analysis of critical indicators such as defect size, characteristics, and severity. Subsequently, a wood quality grading model was constructed using fuzzy comprehensive evaluation. Experimental results demonstrate that the system effectively categorizes wood products into three grades: superior (Grade A), qualified (Grade B), and unqualified (Grade C). For the Plywood wood defect dataset, the system achieved mean average precision@0.5 (mAP@0.5) of 91.3%. Moreover, the dynamic weighting-based grading strategy showed a deviation of less than 5% compared to manual evaluation results (Euclidean distance: 0.063; Jaccard index: 0.892). This research provides an efficient and scalable quality assessment paradigm for intelligent wood manufacturing, demonstrating significant engineering application value.
CHEN Shuang , ZHANG Li , ZHANG Penghao , SUI Guanghui , WU Tian , ZHANG Xinying , WU Hongbo
2025, 45(4):87-103. DOI: 10.11823/j.issn.1674-5795.2025.04.07
Abstract:Aircraft wings are inevitably subjected to diverse and intricate loads in the course of flight, which induce the deformation. Precise measurement of the wing deformation holds vital importance for ensuring flight safety, optimizing aircraft performance, and enabling the advancement of aeronautical structure design. This paper presents a comprehensive review of the principal techniques currently utilized in the aircraft wing deformation measurement, both domestically and internationally. These techniques encompass the linear displacement sensor method, strain sensor method, stereoscopic vision measurement method, optical fiber sensing method, and others. A detailed comparative analysis is made, examining the merits and demerits of each method with respect to the measurement accuracy, real-time performance, and environmental adaptability. Additionally, the paper discusses the application status of these techniques in the practical monitoring of aircraft wing deformation. Lastly, this paper anticipates the future development directions for further enhancing the capabilities of wing deformation measurement. The prime objective is to provide a valuable reference for wing health monitoring and performance optimization within the realm of aeronautical engineering.
WANG Zengkun , YANG Zhibo , QIAO Baijie , WU Shuming , CAO Jiahui , CHEN Xuefeng
2025, 45(4):104-118. DOI: 10.11823/j.issn.1674-5795.2025.04.08
Abstract:The principle of blade tip timing technology is introduced. The current state of research on the under-sampled signal analysis in the frequency domain for blade tip timing is reviewed. The applications of four sensor placement strategies in the frequency domain analysis of blade tip timing are discussed, including a single sensor, dual sensors, sensors with specific location constraints, and multiple sensors. Four approaches for the frequency spectrum analysis of undersampled signals are presented, which are time series fitting, band-limited signal reconstruction theory, sparse representation theory, and array signal processing, with an emphasis on their theoretical foundations as well as their strengths and limitations. The characteristics of the synchronous and asynchronous vibration analysis in the field of blade tip timing are discussed. Furthermore, four future research directions for frequency domain analysis of blade tip timing technology are identified, including uncertainty analysis of sampling, assessment of amplitude analysis validity, data analysis of novel blade tip sampling strategies, and intelligent feature extraction and fault diagnosis.
ZHOU Chen , GUO Shuang , MA Liuhao
2025, 45(4):119-140. DOI: 10.11823/j.issn.1674-5795.2025.04.09
Abstract:LDS is an advanced laser-based spectroscopic technique for gas sensing with a broad dynamic range and high immunity to optical power fluctuations. It has attracted considerable attention in trace gas detection and combustion diagnostics. Starting from the motivation for conducting research on LDS technology, this review systematically introduces the fundamental spectroscopic principles of LDS and establishes a theoretical analysis framework. It highlights the key features and implementation methods of HPSDS and CLaDS, and explores approaches for constructing calibration-free models. By examining the representative LDS applications in the past decade in typical scenarios such as combustion diagnostics, high-temperature flue gas monitoring, and environmental optical trace gas detection, this review elucidates the distinct technical requirements of these application domains. Finally, regarding such challenges as the insufficient detection sensitivity and complex system configurations, the paper indicates the future development directions from both fundamental research and practical application perspectives, providing a systematic reference for advancing the theoretical foundations and engineering applications of LDS.
ZHANG Chenwen , YANG Jun , LIAO Yunhong , ZHANG Runze
2025, 45(4):141-148. DOI: 10.11823/j.issn.1674-5795.2025.04.10
Abstract:Traditional location methods based on microphone arrays have certain limitations in locating wide-area low-frequency acoustic signals at kilometer-scale distances. To improve location accuracy , field experiments were conducted using a 32-element acoustic array to investigate the locating performance of the time delay minimum variance (TDMV) method and the beamforming (BF) method in a 5 km outdoor environment, focusing on low-frequency sound signals from the same source. Experimental results indicate that compared to the traditional BF method, the TDMV method exhibits a significant advantage in location accuracy over wide-area ranges, achieving an improvement of more than 2.1% in precision. These findings extend the effective range of sound source location and provide a feasible solution for the accurate location of low-frequency sound sources.
LIU Fule , ZU Hongfei , CHEN Zhangwei
2025, 45(4):149-157. DOI: 10.11823/j.issn.1674-5795.2025.04.11
Abstract:To accurately analyze the functional characteristics of metallic materials and test their structural stability, based on the Euler-Bernoulli beam theory, a multi-order resonance method is proposed to calculate the dynamic Young's modulus by analyzing the first-and second-order resonant frequencies of the material; and a dynamic test system with a high-frequency exciter and a laser vibrometer as the core is built. The system has a wide dynamic range, precise control and measurement capabilities, and excellent anti-interference. Four kinds of metal materials were tested, and their average values and coefficients of variation of Young's modulus were calculated, statistically analyzed. It is verified that the method has high accuracy, consistency and robustness, while effectively avoiding the influence of strain measurement tools and internal structure changes in traditional static tests. This study provides important support for the development of performance testing and structural analysis of isotropic metals and non-metallic materials.
TANG Zixiao , WANG Ruotong , LEI Qingchun
2025, 45(4):158-166. DOI: 10.11823/j.issn.1674-5795.2025.04.12
Abstract:Three-dimensional combustion diagnosis based on tomography technology requires the use of flame images in multiple directions for three-dimensional reconstruction. The accuracy of lens angle calibration directly affects the qua-lity and precision of reconstruction. In order to reduce the error of angle calibration, a Convolutional Neural Network (CNN) lens angle calibration method based on cross calibration block is proposed. A new cross calibration block was designed. Compared with the traditional calibration block, it has more complex spatial structure characteristics, which can enhance the geometric information difference of the image during rotation, help CNN to extract angle features more accurately, and reduce the angle label error in the training set. A CNN based on the Residual Neural Network (ResNet) architecture was built for angle prediction, and CNN training was implemented based on the open-source framework PyTorch to avoid artificial feature design. Experiments were conducted to verify the application effect of the CNN lens angle calibration method based on the cross calibration block. The results show that when the traditional triangular prism calibration block is used for lens angle calibration, the angle label error is large, resulting in low accuracy of lens angle calibration; when the cross calibration block is used for lens angle calibration, the loss function converges faster during model training and the accuracy of lens angle calibration is higher. The convolutional neural network lens angle calibration method based on the cross calibration block shows higher robustness and stronger generalization ability, providing technical support for improving the accuracy of combustion image reconstruction.

Editor in chief:
Inauguration:
International standard number:ISSN
Unified domestic issue:CN
Domestic postal code: