
Editor in chief:Han Bing
Inauguration:1958
International standard number:ISSN 1674-5795
Unified domestic issue:CN 11-5347/TB
Domestic postal code:80-441
- Most Read
- Most Cited
- Most Downloaded
2025(6).
Abstract:
HUANG Bohang , JIANG Tinghao , ZHAO Chunbo , WU Tengfei , HE Guangqiang
2025(6):10-28. DOI: 10.11823/j.issn.1674-5795.2025.06.01
Abstract:The basic principles of precision ranging based on soliton microcombs and their advantages in chip-level integration, high precision, and high speed are introduced. The principles and implementations of single-microcomb frequency-modulated continuous wave, chaotic ranging, dispersive interferometry, synthetic-wavelength metrology, and dual-comb ranging are elaborated. The development paths such as repetition frequency locking, frequency scanning, and parallel imaging are discussed. It is pointed out that the research in this field has progressed from proof-of-concept demonstrations to a new stage focused on performance optimization and practical exploration. It is further proposed that the future development will be characterized by system-level full optoelectronic integration, multifunctional reconfigurability, and deep cross-disciplinary convergence, through which a large-scale deployment of chip-scale precision LiDAR in automotive perception, industrial metrology, space exploration, and related applications is expected to be enabled.
HAN Yixuan , GAO Doudou , DONG Dengfeng , WANG Bo , QIU Qifan
2025(6):29-40. DOI: 10.11823/j.issn.1674-5795.2025.06.02
Abstract:To address the issues of accuracy degradation and computational delay in extracting small spot centers in the field of industrial high-speed visual measurement, a high-speed real-time spot localization method for small-sized spots is proposed. A Region of Interest (ROI) extraction algorithm based on sliding window brightness consistency is designed and implemented in a Field Programmable Gate Array (FPGA) to improve detection speed. A small spot center extraction algorithm combining distance-weighted least-square fitting and a Signal-to-Noise Ratio (SNR)-based adaptive weight adjustment mechanism is introduced to enhance the localization robustness of small spots under varying lighting and noise conditions. Experimental results show that the proposed method has achieved a spot center localization error of not more than 0.05 pixels, with a frame rate of 160 frames per second, significantly outperforming traditional methods in processing speed. This method to a great extent meets the high-precision real-time localization requirements of small spot centers in industrial high-speed visual measurement.
CHENG Xin , CONG Shanshan , XUE Zhipeng , LIU Jinquan , MIAO Zijian , WANG Sheng
2025(6):41-49. DOI: 10.11823/j.issn.1674-5795.2025.06.03
Abstract:To address the bottlenecks of high cost and long development cycles in traditional aerospace product manufacturing, and to meet the urgent demand for batch production of space optical payloads in giant satellite constellations, this study adopts an integrated approach combining modular structural design, process optimization, and automated testing technology to develop a Maksutov-Cassegrain optical system with a small F-number and minute pixels. By enab-ling interchangeable assembly of lenses and focal plane components, along with integration into an automated assembly and testing line, the system achieves a ground pixel resolution of 4.5 m and a swath width of 13.5 km × 13.5 km at an orbital altitude of 500 km, with a total weight of only 1.1 kg. This approach has improved the overall development efficiency by 50%. The results provide crucial technical support for the low-cost, rapid, and batch-producible manufacturing of miniaturized space optical payloads.
DU Qiang , HAO Jianhai , BAI Jinhai , HU Dong , WANG Yu , XU Haotian , ZHANG Yeyuan
2025(6):50-64. DOI: 10.11823/j.issn.1674-5795.2025.06.04
Abstract:This paper introduces the physical principles and typical methods of Rydberg atomic superheterodyne microwave measurement technology, elaborates on its research advancements in sensitivity enhancement, phase measurement, and dynamic range expansion, analyzes its potential value and current limitations in aviation equipment applications, and explores the developmental trajectory and key technical challenges involved in transitioning this technology from laboratory research to practical aviation applications. It points out that the current maturity level of this technology is in the transitional stage from theoretical breakthroughs to equipment integration. Furthermore, it proposes a three-phase roadmap for advancing this technology toward aviation applications: chip-scale integration of core units, enhanced environmental robustness at the system level, and mission-oriented networked collaborative sensing. It provides a prospective technology roadmap for constructing a new generation of highly sensitive, distributed, and intelligent aviation microwave measurement systems.
PAN Yan , WANG Nuanrang , WANG Yunjia , FENG Shilong , XUE Xiaobo , ZHANG Shengkang
2025(6):65-72. DOI: 10.11823/j.issn.1674-5795.2025.06.05
Abstract:To accurately and efficiently control the probing sequence of the Hg? microwave atomic clock, a highly integrated custom timing control system was developed. This system adopts a layered architecture design, in which the host computer software enables parameter setting and sequence configuration distribution. The embedded software, in real-time, parses the received instructions and generates high-precision operation sequences, ultimately driving peripheral devices to precisely execute the corresponding operations. It achieves flexible configuration and dynamic reconfiguration of the timing logic. Experimental results show that the sequences generated by the system are consistent with the theoretically designed sequences, enabling convenient and efficient timing control for double-resonance probing, Rabi probing, and Ramsey probing. The system provides a reliable timing control solution for the integrated research of Hg? microwave atomic clocks.
ZHANG Yu , YANG Hongwei , LIU Fang , YANG Wengang , JIANG Hongchuan , DENG Xinwu
2025(6):73-85. DOI: 10.11823/j.issn.1674-5795.2025.06.06
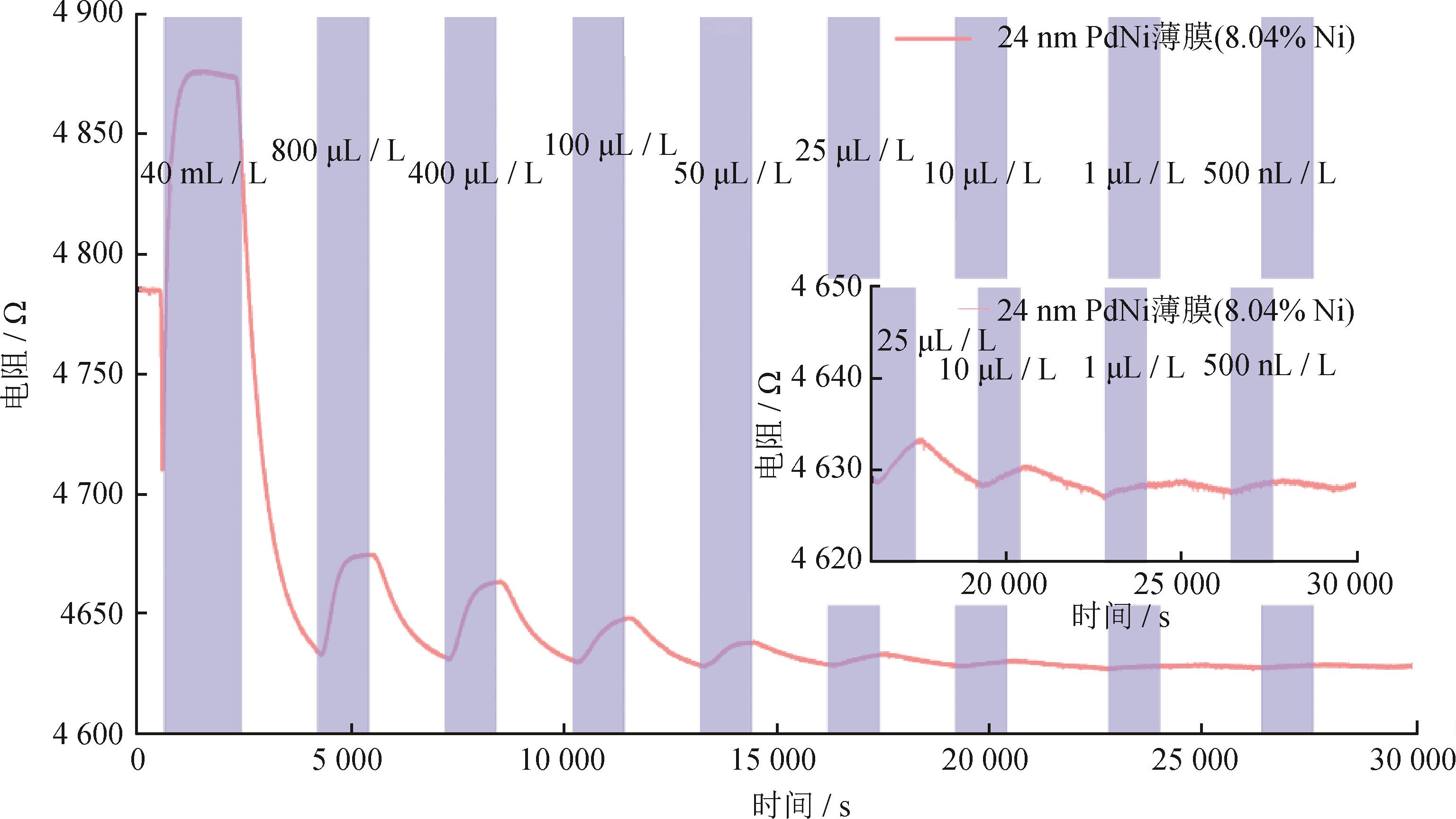
Abstract:O? and H?O significantly affect the hydrogen sensitivity of PdNi thin films. To monitor hydrogen concentration in high-humidity oxygen-containing environments such as electrolytic water hydrogen production, nuclear power plant storage, and deep-sea energy exploration, PdNi thin-film hydrogen sensors were fabricated using methods such as magnetron sputtering, photolithography, and plasma etching. By adjusting the Ni content and thickness of the PdNi thin films, the influence of Ni content and thickness on the stability of the PdNi thin-film hydrogen sensors under O? and H?O interference was systematically studied. Analytical methods such as XRD, SEM, and XPS were employed to characterize the crystallinity, elemental content, and elemental valence states of the PdNi thin films. The experimental results indicate that as the Ni content increases, the hydrogen response of the PdNi thin films becomes more affected by H?O and O?, while increasing the film thickness can reduce interference but weakens the hydrogen response sensitivity. Among them, the PdNi thin-film hydrogen sensor with a Ni content of 8.04% and a thickness of 24 nm, although affected by O? and H?O, can restore its response curve to the initial state after experiencing interference. This research provides important support for the development of the hydrogen sensor for applications under complex environment conditions.
JIN Ran , HUANG Yuqi , ZHU Liang
2025(6):86-94. DOI: 10.11823/j.issn.1674-5795.2025.06.07
Abstract:To address the calibration demand for the response time constant of fast-response K-type thermocouples under gas medium conditions, a calibration device based on the gas temperature step method was developed. Key para-meters including heater power, orifice area, and nozzle flow rate were determined via theoretical calculations, and Ansys Fluent software was utilized for simulation to optimize the structure of the step temperature generation module. A calibration method based on synchronous dynamic pressure monitoring was proposed, which takes the pressure step moment as the reference to eliminate non-ideal excitation interference and ensure the calculation accuracy of the response time constant. Experimental tests were conducted using the developed device, and the results indicate that the gas temperature step amplitude generated by the device exceeds 200 ℃ with a temperature step excitation time of approximately 2.2 ms. The device can effectively calibrate the response time constant of K-type thermocouples with different wire diameters, demonstrating a significant engineering application value.
LIAO Yunhong , WANG Chenchen , FU Qiang
2025(6):95-104. DOI: 10.11823/j.issn.1674-5795.2025.06.08
Abstract:Research was conducted for porous parameter inversion based on irregular acoustic incidence model to address the limitation of normal incidence case. A theoretical model was established for relating material porous parame- ters to the irregular incidence absorption coefficient. The acoustic response of porous materials under irregular incidence case was simulated to obtain the reference absorption data. The inversion study was conducted by using the established theoretical model and genetic algorithm, and the accuracy and astringency of inversed parameters was further analyzed. Results show a good agreement between theoretical and simulated outcomes and demonstrate high accuracy and astringency with relative errors of the inversed parameters below 9.0% and relative standard deviations less than 1 × 10?3. This study provides a novel theoretical approach for porous parameter inversion that presents considerable potential for both academic research and engineering applications.
WANG Siyu , CUI Yuguo , WEI Chunfeng , CHEN Jichi
2025(6):105-115. DOI: 10.11823/j.issn.1674-5795.2025.06.09
Abstract:To improve the quality and efficiency of Digital Elevation Model (DEM) construction in complex terrain, this study proposes a multi-source DEM acquisition and fusion method that integrates high-resolution optical imagery and interferometric Synthetic Aperture Radar (SAR) imagery. Using an unmanned aerial vehicle and satellite remote sensing system as a platform, this method constructs a multi-view data acquisition chain to generate optical imagery DEM and interferometric imagery SAR-DEM, respectively. By introducing a point cloud classification algorithm based on texture and structural features and a regional adaptive weight estimation model, weighted fusion of multi-source elevation data has been achieved. The fusion process employs error constraints and seamline control strategies to address typical challenges such as terrain occlusion, data holes, and elevation jumps. Experiments in representative landforms, including forests, glaciers, deserts, cities, and water bodies, demonstrates that this method has the characteristics of high elevation restoration accuracy and good boundary continuity, and can meet the three dimensions modeling needs of various landform types. Among them, the relative elevation mean error in hilly areas is 0.5 m. The research findings provide stable and reliable technical support for fields such as high-resolution topographic mapping, landform evolution monitoring, and disaster early warning, and are of great significance for promoting the automation and intelligence of remote sensing mapping.
MENG Wei , SHI Wei , CHEN Shilin
2025(6):116-127. DOI: 10.11823/j.issn.1674-5795.2025.06.10
Abstract:To systematically solve the application problems of Measurement System Analysis (MSA) in the automatic hardness detection system, the particularity of its MSA is expounded, and points out the limitations of the traditional Gauge Repeatability and Reproducibility (GRR) method in the identification of variation sources and experimental design. On this basis, a "process decoupling hybrid GRR" experimental strategy is proposed, which decouples the hardness testing process into two sub processes: indentation generation (destructive) and indentation measurement (non-destructive). Nested design and cross design are used to separate and quantify the variation sources, respectively. Through the construction of an automation platform with double detection units, the systematic MSA experiment was conducted, and the analysis of variance was used to evaluate the influence of equipment repeatability, reproducibility and interaction. The results show that the proposed method can effectively identify the dominant variation sources, and provide a feasible analysis framework for the performance evaluation and optimization of the automatic hardness testing system, which has strong engineering applicability and popularization value.
SHI Chunying , ZHANG Yixiang , HU Wanxin , XING Runjia
2025(6):128-140. DOI: 10.11823/j.issn.1674-5795.2025.06.11
Abstract:To accurately evaluate the metrological performance of airborne sensors under the prolonged, gradual, and cumulative influence of the natural environment, this study examines key technical aspects of the testing process — including preliminary preparations, test design, execution, result analysis, and reporting — based on the characteristics of both airborne sensors and natural environments. This exploration has resulted in the development of a relatively universal methodology for conducting natural environmental tests. These tests generate fundamental data on the changes in sensor metrological indicators, providing essential support for subsequent research on the performance degradation and the calibration cycle of airborne sensors.
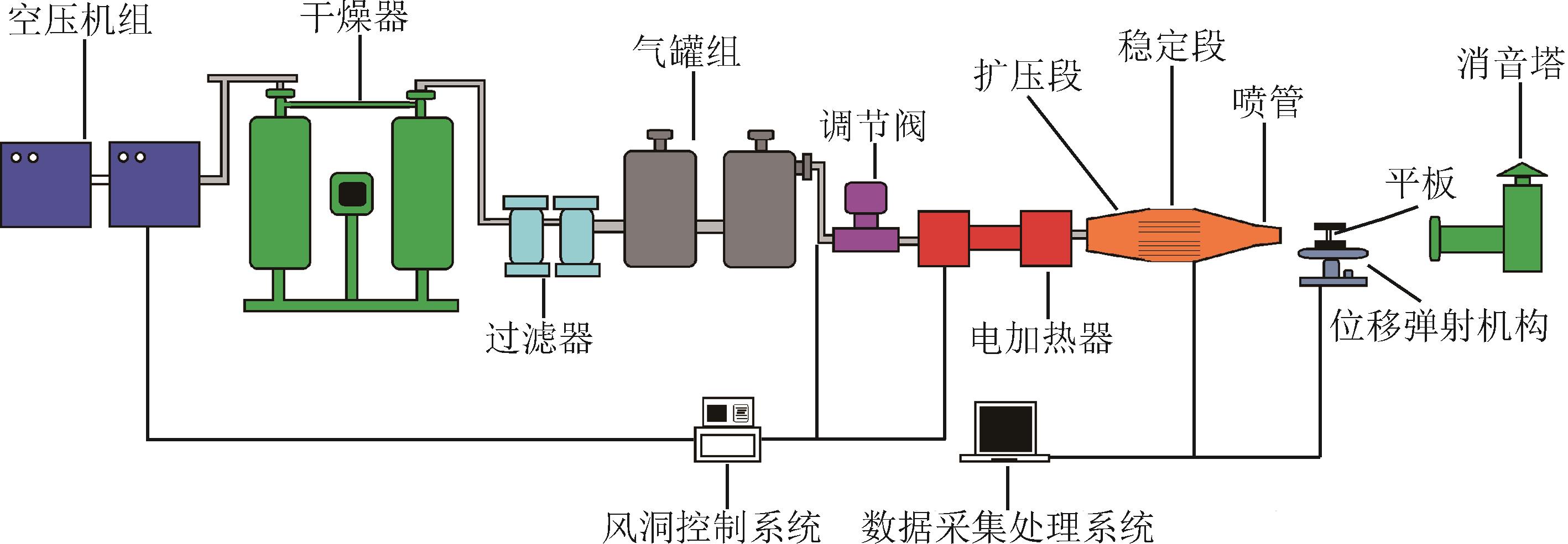
ZHENG Jianhua , ZHAO Jian , WANG Xiaolu , HU Lintao , KONG Xiangxue , ZHAO Yijun
2025(6):141-152. DOI: 10.11823/j.issn.1674-5795.2025.06.12
Abstract:Accurate heat flux measurement is essential for developing hypersonic vehicles and their thermal protection systems. The intense aerodynamic heating generated during high-speed flight of aerospace vehicles is primarily dominated by convective heat transfer. However, existing heat flux gauges struggle to accurately measure surface thermal loads under extreme high-temperature and high-speed conditions, resulting in low measurement accuracy and significantly constraining the performance evaluation of thermal protection systems and material development. To address the lack of reliable calibration methods for heat flux sensors under high-temperature and high-speed conditions, this study introduces a dual-plate transient calibration method. This method adopts a highly accurate thin-film platinum resistance sensor as a reference, installs a Gardon gauge to be calibrated with the sensor together on a displacement ejection mechanism, and simulates the high-speed flight scenario of the aircraft in the wind tunnel to achieve the calibration to the Gardon heat flux gauge under airflow conditions. Calibration experiments were conducted at a flight Mach number of 0.3 and temperatures from 100 °C to 300 °C for the developed convective heat flux measurement device. The results demonstrate that the relative expanded uncertainty is 4.2% (k = 2), and this method can effectively obtain the convective heat flux sensitivity coefficient of the Gardon heat flux meter. The dual plate transient calibration method proposed in this paper provides new ideas and approaches for high-temperature and high-speed convective heat flux calibration, significantly improving the reliability of convective heat flux measurement data and providing strong technical support for the development of hypersonic aircraft and accurate measurement of thermal loads in thermal protection systems.
WANG Yida , TIAN Qingyun , CHEN Yong , KONG Xiangxue , MANG Kexin , WANG Sujie , SHI Jiyuan
2025(6):153-160. DOI: 10.11823/j.issn.1674-5795.2025.06.13
Abstract:Traditional test equipment struggles to meet the high-precision and efficient static temperature testing requirements of thin-film thermocouples in high-temperature environments. To address this issue, a chamber furnace with large-space and precise temperature control functions has been developed. The furnace body adopts a split-type multi-layer structure design. Its side thermal insulation components can be flexibly disassembled to eliminate installation obstructions, satisfying the testing needs of thin-film thermocouples with different shapes. High-efficiency heating is achieved using three-section molybdenum disilicide heating elements, combined with a water-cooling system to realize precise temperature control and generate a stable and reliable temperature field. A three-dimensional thermodynamic model was established and simulated using ANSYS Workbench 2019R3 software. The simulation results show that the temperature field at the measuring end and the temperature at the reference end of the sample meet the design expectations. Practical tests conducted with the developed box-type furnace indicate that the temperature fluctuation in the furnace's test coordinate system is 0.47 ℃ / 6 min, and the temperature field uniformity is better than 3 ℃ / 50 mm, which complies with the testing requirements for thin-film thermocouples. Tests on Au-Pt thin-film thermocouples were conducted using this box-type furnace, further verifying its application effectiveness. It provides important technical support for the static temperature characteristic detection of thin-film thermocouples.

Editor in chief:Han Bing
Inauguration:1958
International standard number:ISSN 1674-5795
Unified domestic issue:CN 11-5347/TB
Domestic postal code:80-441